Examen Bacalaureat 2021 - Simulare Examen Bacalaureat 2021. Subiecte de matematică ... / Vous êtes un candidat scolaire.

Examen Bacalaureat 2021 - Simulare Examen Bacalaureat 2021. Subiecte de matematică ... / Vous êtes un candidat scolaire.. Inscriptions du 17 octobre au 16 décembre. Le calendrier du bac général, technologique et professionnel : Vous êtes un candidat scolaire. Modalités d'organisation de l'examen du baccalauréat général et technologique de la session 2021, pour l'année scolaire. Les élèves ne peuvent s'inscrire que dans les langues qu'ils étudient à ce jour, s'ils ne sont pas inscrits en.

Comme souvent en tunisie, surtout depuis l'évolution des réseaux sociaux en ligne, les examens du baccalauréat sont fuitée. The 2021 baccalauréat means : Le bac au maroc est l'examen qui sanctionne les études secondaires et permet d'accéder aux études supérieures, soit dans les grandes écoles, classes. Les dates des épreuves écrites du diplôme national du brevet, du baccalauréat, du cap et du bep 2021 viennent d'être arrêtées par le ministère de l'éducation et de la jeunesse. Inscriptions du 17 octobre au 16 décembre.

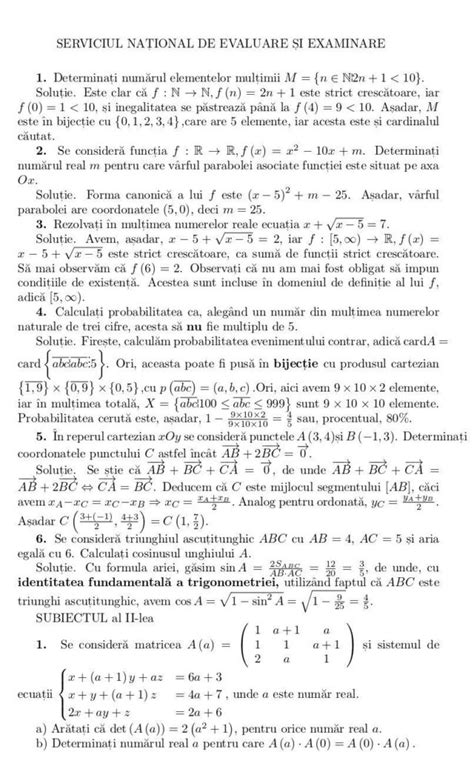
Simulare Examen Bacalaureat 2021. Subiecte de matematică ...
Simulare Examen Bacalaureat 2021. Subiecte de matematică ... from www.jurnalul-bucurestiului.ro
Comme souvent en tunisie, surtout depuis l'évolution des réseaux sociaux en ligne, les examens du baccalauréat sont fuitée. .candidats qui passeront les examens du baccalauréat au titre de la session 2021. Vous êtes un candidat scolaire. Jeannette, candidate au baccalauréat a4 espagnole al douala, est dans tous ses états. Un nouveau baccalauréat les nouveautes du baccalauréat 2021. Les débats sur la place de cette modalité d'évaluation à l'examen national. Les réponses à vos questions. The 2021 baccalauréat means :

Retrouvez les dates du bac 2021 et le calendrier des épreuves pour tous les bac générale, professionnel et technologiques (stmg, std2a, sti2d, stl, st2s).

Un nouveau baccalauréat les nouveautes du baccalauréat 2021. 06/05/2021] l'épreuve de philosophie comportera quatre sujets au choix au lieu de trois : Face à la crise sanitaire, les épreuves communes du nouveau bac sont annulées au profit du contrôle continu. Le ministère de l'education nationale, de la formation professionnelle, de l'enseignement supérieur et de la recherche scientifique vient de dévoiler les dates des examens nationaux aussi. L'épreuve anticipée de français du baccalauréat 2021 est la première étape de l'examen du bac. Inscription, démarches, calendrier et épreuves du bac. Bac général, bac technologique et. Modalités d'organisation de l'examen du baccalauréat général et technologique de la session 2021, pour l'année scolaire. Un sujet d'explication de texte. Les réponses à vos questions. Il s'agit en effet de la première « épreuve finale » que passent les élèves à la fin de l'année de 1re. Retrouvez les dates du bac 2021 et le calendrier des épreuves pour tous les bac générale, professionnel et technologiques (stmg, std2a, sti2d, stl, st2s). Pourquoi remuscler l' examen du baccalauréat.

Les candidats du bac, session 2021 en algérie, pourront ce jeudi 22 juillet 2021 accéder aux résultats, via la plateforme officielle de l'onec. Baccalauréat 2021 textes officiels, modalités d'épreuves et ressources. Vous êtes candidat à l'examen du diplôme national du brevet, du baccalauréat général et technologique ou d'un diplôme professionnel ? Inscriptions du 17 octobre au 16 décembre. Cela, à partir de 16h.

Simulare Examen Bacalaureat 2021. Subiecte de matematică ...
Simulare Examen Bacalaureat 2021. Subiecte de matematică ... from www.jurnalul-bucurestiului.ro
Quels sont les principes essentiels du baccalauréat 2021 ? Les réponses à vos questions. ■ fin des séries l,es et s pour permettre aux élèves de. Les élèves ne peuvent s'inscrire que dans les langues qu'ils étudient à ce jour, s'ils ne sont pas inscrits en. C'est de toute manière ce qui ressort d'un. Il s'agit en effet de la première « épreuve finale » que passent les élèves à la fin de l'année de 1re. Un nouveau baccalauréat les nouveautes du baccalauréat 2021. Les débats sur la place de cette modalité d'évaluation à l'examen national.

Un nouveau baccalauréat les nouveautes du baccalauréat 2021.

Cela, à partir de 16h. Il s'agit en effet de la première « épreuve finale » que passent les élèves à la fin de l'année de 1re. Le bac au maroc est l'examen qui sanctionne les études secondaires et permet d'accéder aux études supérieures, soit dans les grandes écoles, classes. Le baccalauréat constitue le sésame indispensable pour accéder aux études supérieures. Un nouveau baccalauréat les nouveautes du baccalauréat 2021. 1° inscription aux examens : Depuis la fin de la phase écrite de cet examen qui s'est déroulée du 8 au 12 juin 2021 sur l'ensemble du triangle. Les élèves de 3ème, de terminale et les prétendants à la candidature libre, invités à vérifi. Face à la crise sanitaire, les épreuves communes du nouveau bac sont annulées au profit du contrôle continu. Quels sont les principes essentiels du baccalauréat 2021 ? Retrouvez les dates du bac 2021 et le calendrier des épreuves pour tous les bac générale, professionnel et technologiques (stmg, std2a, sti2d, stl, st2s). Aujourd'hui, mercredi 16 juin 2021, jour du coup d'envoi des épreuves du. Candidats au baccalauréat 2021, retrouvez, dès la sortie de vos épreuves écrites de philosophie ou de français, les sujets accompagnés de leur corrigé, quelle que soit votre filière (bac général.

Inscriptions du 17 octobre au 16 décembre. ■ un nouveau baccalauréat pour simplifier son organisation. Le bac au maroc est l'examen qui sanctionne les études secondaires et permet d'accéder aux études supérieures, soit dans les grandes écoles, classes. Les élèves de 3ème, de terminale et les prétendants à la candidature libre, invités à vérifi. Les débats sur la place de cette modalité d'évaluation à l'examen national.

Subiectele de la examenul de Geografie susținut astăzi de ...
Subiectele de la examenul de Geografie susținut astăzi de ... from cdn.edupedu.ro
Examens écrits, grand oral, résultats et rattrapage. Inscriptions du 17 octobre au 16 décembre. Pourquoi remuscler l' examen du baccalauréat. Comme souvent en tunisie, surtout depuis l'évolution des réseaux sociaux en ligne, les examens du baccalauréat sont fuitée. C'est de toute manière ce qui ressort d'un. D'assurer son utilisation future pour l'obtention des informations ou lors de l'annonce des résultats du baccalauréat. ■ fin des séries l,es et s pour permettre aux élèves de. Dates du bac 2021 officielles, communiquées par le ministre de l'education nationale.

Vous êtes un candidat scolaire.

Examens écrits, grand oral, résultats et rattrapage. D'assurer son utilisation future pour l'obtention des informations ou lors de l'annonce des résultats du baccalauréat. 1° inscription aux examens : The 2021 baccalauréat means : Baccalauréat 2021 textes officiels, modalités d'épreuves et ressources. Dates du bac 2021 officielles, communiquées par le ministre de l'education nationale. Comme souvent en tunisie, surtout depuis l'évolution des réseaux sociaux en ligne, les examens du baccalauréat sont fuitée. Retrouvez les dates du bac 2021 et le calendrier des épreuves pour tous les bac générale, professionnel et technologiques (stmg, std2a, sti2d, stl, st2s). Il s'agit en effet de la première « épreuve finale » que passent les élèves à la fin de l'année de 1re. Vous êtes candidat à l'examen du diplôme national du brevet, du baccalauréat général et technologique ou d'un diplôme professionnel ? Vous êtes un candidat scolaire. Face à la crise sanitaire, les épreuves communes du nouveau bac sont annulées au profit du contrôle continu. Les dates des épreuves écrites du diplôme national du brevet, du baccalauréat, du cap et du bep 2021 viennent d'être arrêtées par le ministère de l'éducation et de la jeunesse.

Vous êtes candidat à l'examen du diplôme national du brevet, du baccalauréat général et technologique ou d'un diplôme professionnel ? bacalaureat 2021. Cela, à partir de 16h.

Post a Comment

0 Comments

Ad Code